1. Principe général de l'évaluation
L’idée générale de l’évaluation est de mesurer l’engagement et l’action politique des élu·e·s et des candidat·e·s aux élections sur la question animale.
Plusieurs notes sont calculées à partir de données publiques.
Note basée sur l’action politique
L’évaluation prend la forme de notes sur 5, qui agrègent plusieurs types d’éléments, comme les dépôts d’objets parlementaires, les votes ou encore l’appartenance à certaines organisations (liens d’intérêt).
Note au questionnaire
Par ailleurs, les candidat·e·s aux élections ont la possibilité de répondre à un questionnaire sur la question animale. Leurs réponses donnent lieu à une note sur 5 également.
Indice de cohérence
L’indice de cohérence est une simple différence entre les deux notes précédentes. Il montre l’écart entre l’action politique et le discours des politicien·ne·s sur la question animale.
2. Les différentes notes
La note basée sur l’action politique
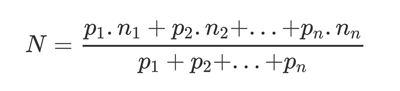
La formule générale
La note basée sur l’action politique est une moyenne arithmétique de notes sur un certain nombre d’éléments, pondérés selon le type d’élément et leur éloignement dans le temps.
si n1, n2, …, nn sont les notes des éléments considérés,
et si leur pondérations respectives sont p1, p2, …, pn,
alors le calcul de la note est le suivant:
Si la somme des poids est nulle, alors la note ne peut pas être calculée. Cela correspond au fait qu’il n’existe pas d’élément pour ce calcul.
Les différents types d’éléments sont :
les objets déposés concernant les animaux,
les votes sur ces objets.
Ils sont pris sur les 8 années précédant la date de l’évaluation.
Valeurs des notes initiales
Les notes ni des différents éléments sont comprises entre 0 et 5.
si l’objet est en faveur des animaux, alors ni = 5
si l’objet est en défaveur des animaux, alors ni = 0
si le vote est de type abstention, alors ni = 1.25
Valeurs des facteurs de pondération
Les poids pi ont une valeur comprise entre 0 et 1.
Ils sont composés de deux facteurs αi et βi(t) :

avec αi le poids en fonction du type d’élément,
et βi(t) le poids d’atténuation au cours du temps (t).
La pondération selon les types d’éléments
Les objets parlementaires ont une pondération différente en fonction de leur importance.
Les valeurs des poids i sont renseignées dans le tableau ci-dessous :

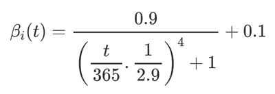
La pondération selon la courbe d'atténuation temporelle
Comme nous voulons donner aux élu·e·s la possibilité de s’améliorer, il est nécessaire que les objets les plus anciens aient moins d’importance. C’est pourquoi nous introduisons ce facteur de pondération temporel βi(t), qui suit la courbe suivante:

avec t l’âge de l’élément en jours.

Liens d’intérêt
Les liens d’intérêt interviennent dans le calcul de la note selon un système de bonus-malus.
Pour chaque lien d’intérêt en faveur des animaux, la note est augmentée de 0.1 point.
Pour chaque lien d’intérêt en défaveur des animaux, la note est diminuée de 0.1 point.
Les notes affichées ne peuvent en aucun cas dépasser 5 / 5 ni devenir négatives.
Prise en compte de l'engagement actif
Pour favoriser les politicien·ne·s qui sont les plus actif·ve·s, nous ajoutons aussi un système de bonus-malus pour chaque objet déposé.
Pour chaque objet déposé en faveur des animaux, la note est augmentée de 0.05 point.
Pour chaque objet déposé en défaveur des animaux, la note est diminuée de 0.05 point.
Les notes affichées ne peuvent en aucun cas dépasser 5 / 5 ni devenir négatives.
L’évolution dans le temps
Avec les règles de calcul précédentes, nous pouvons calculer, si nous disposons de suffisamment de données, la note d’un·e élu·e à diverses dates t0, t1, t2, etc.
Ainsi, nous pouvons réaliser un graphique qui montre l’évolution de la note au cours du temps.
Remarque : dans le meilleur des cas, et selon les données disponibles, nous effectuons le calcul de la note jusqu’en 2015. Cela implique de récolter des données à partir de 2007.

La note au questionnaire
Chaque candidat·e aux élections est invité·e à répondre à un questionnaire envoyé par Animaux Politique Suisse sur des sujets concernant les animaux.
Le questionnaire est envoyé aux candidat·e·s dès que les listes sont connues. Les élu·e·s en place qui se présentent aux élections le reçoivent également.
Une note leur est attribuée, en fonction de leurs réponses au questionnaire.
Toutes les questions sont de type “fermées” avec les réponses possibles suivantes :
OUI (note 5 / 5 si la réponse OUI est en faveur des animaux, et 0 / 5 sinon)
NON (note 0 / 5 si la réponse OUI est en défaveur des animaux, et 5 / 5 sinon)
sans avis (1.25 / 5 dans tous les cas)
Les questions peuvent se voir attribuer un poids différent selon leur importance.
La note finale est ramenée sur 5.
L’indice de cohérence
L’indice de cohérence est la simple différence entre les 2 notes précédentes:
(indice de cohérence) = (note de l’action politique) - (note au questionnaire)
Sa valeur peut donc aller de -5 à +5.
Plus l’indice de cohérence est proche de 0, plus l’action politique est conforme au discours/réponses au questionnaire. Attention : cela ne donne aucune indication sur le fait que la personne est ou non en faveur des animaux.
Plus l’indice est éloigné de 0, plus l’action politique est éloignée du discours/réponses au questionnaire.
Si l’indice de cohérence est négatif : l’action politique en faveur des animaux n’est pas à la hauteur du discours. C’est le cas le plus général.
Si l’indice est positif : l’action politique en faveur des animaux est meilleure que ce qui est dit.
Les notes selon les thèmes
À chaque élément et question du questionnaire, nous avons attribué un ou des thèmes de la question animale. Les thèmes sont les suivants:
Elevage et alimentation
Autres produits à base d'animaux
Expérimentation animale
Sports et loisirs avec animaux
Animaux de compagnie et de travail
Animaux liminaires et sauvages
Ethique et droit des animaux
Droits des défenseurs des animaux
Pour chacune des notes (action politique et questionnaire), nous pouvons donc calculer des “sous-notes” correspondant à chacun des thèmes. Pour chaque thème, le calcul n'est effectué qu’avec les éléments auxquels on a attribué le thème correspondant.
3. Les entités évaluées
L’évaluation des personnes
Les personnes sont soit des élu·e·s soit des candidat·e·s.
Elles se voient attribuer 3 notes, comme expliqué ci-dessus :
une note basée sur l’action politique
une note au questionnaire
un indice de cohérence
Ainsi que les “sous-notes” selon les 8 thèmes de la question animale.
L’évaluation des Conseils
Les Conseils évalués sont:
le Conseil national,
le Conseil des états,
les 26 parlements cantonaux.
L’évaluation du Conseil fédéral est un cas particulier (voir plus loin).
Les gouvernements cantonaux ne sont pour le moment pas évalués, faute de données.
Le calcul des notes des Conseils consiste en une simple moyenne des notes des personnes qui les composent. Les Conseils se voient donc attribuer 3 notes:
une note basée sur l’action politique
une note au questionnaire
un indice de cohérence
Ainsi que les “sous-notes” selon les 8 thèmes de la question animale.
L’évaluation des Commissions thématiques
Les Commissions évaluées sont les Commissions thématiques au niveau fédéral.
Nous ne disposons pas encore de données pour le niveau cantonal.
Le calcul de l’évaluation se fait sur le même modèle que celui des Conseils.
L’évaluation des partis et des groupes parlementaires
Tous les partis sont évalués, aussi bien ceux qui sont enregistrés au niveau fédéral, que ceux qui n’existent que dans certains cantons.
Les groupes parlementaires évalués sont ceux du parlement fédéral:
Groupe de l'Union démocratique du Centre
Groupe des VERT-E-S
Groupe libéral-radical
Groupe socialiste
Groupe vert'libéral
Le Groupe du Centre. Le Centre. PEV.
Le calcul de l’évaluation se fait sur le même modèle que celui des Conseils.
L’évaluation des cantons
Le calcul de l’évaluation des cantons consiste en une simple moyenne des notes des élu·e·s issu·e·s de ces cantons, qu’ils ou elles siègent au niveau fédéral ou cantonal.
Le cas particulier du Conseil fédéral
Pour le Conseil fédéral, l’évaluation se fait sur la base des éléments suivants :
les objets du Conseil fédéral déposés au Parlement
les propositions d’accepter ou de rejeter les objets parlementaires (initiatives, motions et postulats) qui accompagnent les messages du Conseil fédéral.
Comme pour l’évaluation des personnes, les éléments sont pondérés en fonction du type d’élément (facteur de pondération ai selon le tableau ci-dessous) et de l’âge de l’élément (facteur de pondération temporel Pi(t)).

Le classement
Le classement des diverses entités listées ci-dessus se fait toujours en fonction de la note selon l’action politique et non selon la note au questionnaire.
La note au questionnaire n'intervient que dans la proposition des bulletins de vote idéaux (voir plus bas).
Distorsions
Il se peut que certaines distorsions apparaissent lorsque la quantité de données est insuffisante. Par exemple:
Dans certains Conseils, les votes ne sont pas nominatifs, ce qui fait que ces éléments ne peuvent pas être pris en compte dans le calcul.
Certain·e·s élu·e·s ont peu d’ancienneté et leur évaluation porte sur peu d’éléments.
Dans certains cantons peu d’objets concernant les animaux ont été déposés. L’évaluation porte alors aussi sur trop peu d’éléments.
4. Le bulletin de vote idéal
La note utilisée
C’est majoritairement la note basée sur l'action politique qui est utilisée pour sélectionner les candidat·e·s proposé·e·s sur le bulletin de vote idéal pour les animaux.
Lorsque le nombre de candidat·e·s proposé est inférieur au nombre de sièges disponibles, le bulletin est complété par les personnes ayant les meilleures notes au questionnaire.
Ces notes doivent être supérieures ou égales à 4.5 / 5 pour la note selon l'action politique et 4.0 / 5 pour la note au questionnaire.
Ces seuils peuvent être ajustés à tout moment en fonction des scrutins, de sorte à avoir le plus possible de candidat·e·s favorables aux animaux sur les bulletins de vote.
La limite inférieure ne peut toutefois se situer au-dessous de 4.
Il se peut donc que le bulletin de vote idéal comporte moins de noms que le nombre de sièges à pourvoir, et dans les cas extrêmes, aucun nom.
Les cumuls
Lorsque le scrutin permet de “cumuler”, c’est-à-dire de doubler les noms des candidat·e·s, alors nous proposons toujours le cumul sur le bulletin de vote idéal.
Le cumul est notamment possible pour le scrutin du Conseil national dans tous les cantons, excepté les demi-cantons (Uri, Obwald, Nidwald, Glaris, Appenzell Rhodes-Extérieures et Appenzell Rhodes-Intérieures).
5. Les limites du système de notation
Les sources de données
La source de données au niveau fédéral
Au niveau fédéral, le Parlement met à disposition un jeu de données structurées, accessible librement. Ainsi, les données utilisées pour le niveau fédéral sont aussi fiables que peuvent l’être les données du Parlement fédéral.
Il faut néanmoins rester conscient que jusqu’à très récemment les votes du Conseil des États n’étaient pas nominatifs. Et c’est aussi toujours le cas pour les Commissions thématiques.
Les liens d'intérêt
Concernant les liens d’intérêt des élu·e·s au niveau fédéral, nous avons utilisé le jeu de données structurées du site lobbywatch.ch, accessible librement. Ces données sont donc aussi fiables que peuvent l’être les données de Lobbywatch.
Au niveau cantonal, nous n’avons pour l’instant pas récolté de données concernant les liens d’intérêt.
La source de données au niveau cantonal
Les cantons ne mettent pas encore leurs données à disposition dans une forme exploitable par une base de données (jeu de données structurées). Les recherches ont dû être faites “à la main”, avec le risque d’erreurs que cela comporte.
De plus, les données au niveau cantonal sont souvent très parcellaires dès qu’on remonte un peu dans le passé.
Les calculs des notes sont donc moins fiables au niveau cantonal.
L’absence de données
Parfois, le calcul des notes est impossible. C’est le cas lorsqu’aucune donnée n’est disponible pour un·e élu·e ou un·e candidat·e.
Cela peut arriver s'il s’agit d’un·e jeune politicien·ne qui n’a pas eu l’occasion de voter sur un objet pertinent pour les animaux, ou alors pour des candidat·e·s qui n’ont jamais siégé.
Dans ce cas-là, nous n’attribuons pas de note et nous reléguons la personne en queue de classement.
Les choix des éléments
Le choix des éléments sélectionnés pour calculer les notes contient une part d’arbitraire et de subjectivité et est limité par des contraintes techniques.
Tout d’abord, les éléments sélectionnés doivent être choisis parmi des données disponibles en opendata de manière structurée (Parlement fédéral et Lobbywatch). Les données cantonales récoltées à la main contiennent certainement beaucoup plus d’erreurs et seront plus difficiles à mettre à jour. Nous espérons que bientôt les cantons suivront l’exemple de la Confédération sur ce point.
De plus, pour vraiment évaluer l’action politique, il aurait certainement fallu intégrer les prises de position publiques et médiatiques des politicien·ne·s. À ce jour, nous n’avons pas encore les moyens de développer un outil capable de le faire.
Enfin, nous avons sélectionné ce qui nous paraissait pertinent pour évaluer l’action politique au regard de la cause animale. Notre position à cet égard a forcément biaisé la sélection et pourrait être débattue longuement.
Par exemple, nous avons exclu de la sélection les objets de type “nature” ou “biodiversité”, pour ne garder que ceux qui montrent très clairement que le vote est en faveur ou en défaveur des animaux en tant qu’individus, et pas des espèces ou de l’environnement.
La période de temps
Nous avons fait le choix de ne considérer les éléments que sur 8 ans pour le calcul d’une note. C’est arbitraire, nous aurions pu opter pour une autre durée.
Huit ans nous paraissait pertinent, car cela correspond à deux législatures au niveau fédéral.
Le fait de limiter dans le temps permet aussi de faire un calcul glissant pour l’évolution des notes, ce qui semble plus juste.
La note initiale des éléments
Le point de départ du calcul des notes se situe au niveau des notes initiales des éléments sélectionnés. Là encore réside une part d’arbitraire.
Les notes initiales ont trois valeurs possibles:
“en faveur des animaux” (5 / 5)
“en défaveur des animaux” (0 / 5)
Pour le cas des votes uniquement : “n’a pas voté” (1.25 / 5)
Nous avons décidé de noter négativement l'abstention, car dans la société actuelle, le statu quo est généralement très dommageable aux animaux.
Certaines organisations sont notées "en défaveur" car elle proposent des produits d’origine animale (fromage par exemple), même si par ailleurs elles proposent des produits véganes. Là encore, nous avons opté pour le point de vue des animaux : de leur point de vue, ces organisations ne sont pas dignes de confiance, car elles participent directement au système qui envoie certains d’entre eux à l’abattoir.
Enfin, nous sommes conscient·e·s que certain·e·s élu·e·s peuvent rejoindre certaines organisations défavorables pour des raisons stratégiques, mais nous ne pouvions pas nous permettre de spéculer sur leurs intentions cachées sans s’exposer à des accusations de favoritisme.
Le choix des facteurs de pondération
Le choix de la valeur des facteurs de pondération selon le type d’éléments est aussi en partie arbitraire.
Nous avons choisi l’ordre des valeurs en fonction de l’importance de l’objet, mais les valeurs elles-mêmes pourraient être très différentes.
Par ailleurs, nous avons pris le parti de mettre un poids identique au niveau cantonal qu’au niveau fédéral car nous avons considéré qu’un·e élu·e ne pouvait agir qu’à son niveau et que cela ne devait pas pénaliser son évaluation.
Le choix de la courbe d’atténuation temporelle
Si la forme générale de la courbe d’atténuation temporelle semble assez logique et rationnelle, sa formule exacte aurait pu être différente.
Nous avons opté pour une courbe qui chute assez vite (presque à 50% au bout de trois ans), et qui atteint pratiquement 10% au bout de 8 ans, qui est la limite de temps pour le calcul d’une note.
La finesse du jeu politique
Bien entendu, l’évaluation mathématique d’une chose aussi humaine que l'action politique, ne peut pas rendre compte des nombreuses raisons qui motivent les actions des politicien·ne·s.
Par exemple, certain·e·s politicien·ne·s font le choix d’entrer dans telle ou telle organisation pour la transformer de l’intérieur.
D’autres pourraient être amené·e·s à voter contre les animaux, pour des raisons stratégiques de long terme.
De plus, les contingences de la vie parlementaire peuvent avoir une influence sur la participation ou non d’un·e élu·e à un vote.
Il y a aussi le cas des suppléant·e·s que nous avons choisi d’éluder. Nous avons pris le parti d’attribuer systématiquement le vote au/à la parlementaire élu·e, même si dans certains cas c’est son ou sa suppléant·e qui a voté (parfois de manière opposée). Notre choix découle plus de contraintes techniques que d’autre chose.
6. Les améliorations possibles
Nous avons essayé de construire un système d’évaluation le plus impartial possible. Et nous avons essayé de rendre la note la plus représentative possible de l’implication politique au regard de la cause animale.
L’objectif premier est de rendre visible les personnes qui soutiennent la cause, et si possible d’aider à l'élection de candidat·e·s en faveur des animaux.
Malgré tout le soin mis dans l’élaboration de ce système de notation, il reste de nombreux aspects relevant de notre subjectivité. Le fil rouge a cependant toujours été de se positionner du point de vue des animaux, ce qui conduit parfois à des décisions contre-intuitives (par exemple classer certaines organisations plutôt écologistes comme étant en défaveur des animaux).
Nous sommes donc naturellement ouvert·e·s à toutes suggestions d’amélioration ou idées pour faire évoluer ce système de notation.
Par ailleurs, si vous constatez des erreurs manifestes, nous vous serions reconnaissant·e·s de nous en faire part. N’hésitez pas à utiliser le formulaire de contact.